40 printable grade 9 math worksheets

math4childrenplus.com › grades › 4th-grade4th Grade Math Worksheets – Printable PDFs 4th grade math worksheets – Printable PDF activities for math practice. This is a suitable resource page for fourth graders, teachers and parents. These math sheets can be printed as extra teaching material for teachers, extra math practice for kids or as homework material parents can use. Printable 1st Grade Math Worksheets & Activities | Twinkl Our printable 1st-grade math worksheets are super easy to use. They may be designed and produced by teachers, but you don't need a qualification to use them. In fact, many of our math pages for 1st-grade students are designed to cover topics that your first-grader will be familiar with, so can be completed independently. Simply choose the resource you'd like to try and let …

› blog › grade-9-math-worksheets9th Grade Math Worksheets: FREE & Printable - Effortless Math Sep 24, 2020 · Comprehensive FSA Grade 8 Math Practice Book 2020 – 2021 Complete Coverage of all FSA Grade 8 Math Concepts + 2 Full-Length FSA Grade 8 Math Tests $ 19.99 $ 14 .99 Download

Printable grade 9 math worksheets

Printable grade 9 math worksheets

› free-math-worksheets › secondGrade 2 Subtraction Worksheets - free & printable | K5 Learning 9 - 3 = Subtract within 0-10, missing minuend or subtrahend __ - 5 = 2: Subtract within 10-19: 18 - 11 = Subtracting a single digit number: Subtract 1-digit from a 2-digit number (no regrouping) 35 - 4 = Subtract 1-digit from a whole ten: 20 - 2 = Subtract 1-digit from a 2-digit number: 33 - 9 = Subtract 1-digit from a 3-digit number: 217 - 9 = › 2nd-grade-math-worksheets_3FREE Printable 2nd Grade Math Minutes Worksheets pdf Jun 24, 2021 · Math Minutes 2nd Grade. It is so important for kids to not only learn math, but to become proficient in doing math quickly at a young age. These 2nd Grade Math Worksheets allow second graders to practice basic addition, subtraction, multiplication, and division to form a firm foundation for the rest of school and their lives. Grade 1 Addition Worksheets - free & printable | K5 Learning Grade 1 addition worksheets. These math worksheets start with simple addition using pictures or number lines followed by one-digit math facts and then progress through number bonds, adding doubles, missing addends, adding whole tens and adding in columns. No regrouping is included in our grade 1 exercises. Adding with objects or pictures: Adding with pictures (sums …

Printable grade 9 math worksheets. 4th Grade Math Worksheets – Printable PDFs | Math 4 Children … 4th grade math worksheets – Printable PDF activities for math practice. This is a suitable resource page for fourth graders, teachers and parents. These math sheets can be printed as extra teaching material for teachers, extra math practice for kids or as homework material parents can use. Most worksheets have an answer key attached on the second page for reference. … › blog › grade-3-map-math3rd Grade MAP Math Worksheets: FREE & Printable Aug 03, 2020 · This comprehensive collection of free exercises and worksheets can help your students review all math concepts of 3rd Grade MAP. Click on each topic and download the math worksheet for 3rd Grade MAP. There is also a FREE 3rd Grade MAP Math Practice Test › 3rd-grade-math-worksheets3rd Grade Math Worksheets These 3rd grade math worksheets start with addition, subtraction, multiplication and division worksheets, including long division worksheets and multiple digit multiplication practice. 3rd grade math also introduces fraction worksheets and basic geometry, both topics where mastery of the arithmetic operations gives plenty of opportunity for ... mathskills4kids.com › integers-worksheets-for-grade-6Integers Worksheets For Grade 6 | Printable Integers ... Integers Worksheets For Grade 6 Printable integers exercises with answers. Get a speedy grasp of integer’s fluency with integers worksheets for grade 6.The mastery and functioning of natural numbers and their negatives is of great use to young mathematicians, both in advanced math concepts and in real life.

3rd Grade Math Worksheets The worksheets in this section also provide practice for ordering numbers, comparisons (greater than and less than worksheets), metric measurement, customary measurement, and other math worksheets appropriate for 3rd grade math. There are also other printable resources including a multiplication chart, place value chart and hand-writing practice paper. All of the free math … Math for Grade 9 | Math Practice, Tests, Worksheets, Quizzes ... Grade 9 math practice, questions, tests, teacher assignments, teacher worksheets, printable worksheets, and other activities for Global School Math, SAT Subject Test: Math Level 1. Browse Printable 3rd Grade Math Worksheets | Education.com This is especially true in third grade, when so many new, often-complicated math theories and models come flying in from all directions. Simply put, the only way to remain a step ahead is to practice. And the best way to practice is with our third grade math worksheets. As your student swiftly moves from one concept to the next, she can access ... Free Printable Math Worksheets for Grade 3 - Homeschool Math You are here: Home → Worksheets → Grade 3 Free Printable Math Worksheets for Grade 3. This is a comprehensive collection of math worksheets for grade 3, organized by topics such as addition, subtraction, mental math, regrouping, place value, multiplication, division, clock, money, measuring, and geometry. They are randomly generated ...

Grade 10 Math Worksheets: FREE & Printable - Effortless Math Looking for FREE printable Math Worksheets and exercises for grade 10 to help you or your students review and practice grade 10 Math concepts and topics? Grade 1 Addition Worksheets - free & printable | K5 Learning Grade 1 addition worksheets. These math worksheets start with simple addition using pictures or number lines followed by one-digit math facts and then progress through number bonds, adding doubles, missing addends, adding whole tens and adding in columns. No regrouping is included in our grade 1 exercises. Adding with objects or pictures: Adding with pictures (sums … › 2nd-grade-math-worksheets_3FREE Printable 2nd Grade Math Minutes Worksheets pdf Jun 24, 2021 · Math Minutes 2nd Grade. It is so important for kids to not only learn math, but to become proficient in doing math quickly at a young age. These 2nd Grade Math Worksheets allow second graders to practice basic addition, subtraction, multiplication, and division to form a firm foundation for the rest of school and their lives. › free-math-worksheets › secondGrade 2 Subtraction Worksheets - free & printable | K5 Learning 9 - 3 = Subtract within 0-10, missing minuend or subtrahend __ - 5 = 2: Subtract within 10-19: 18 - 11 = Subtracting a single digit number: Subtract 1-digit from a 2-digit number (no regrouping) 35 - 4 = Subtract 1-digit from a whole ten: 20 - 2 = Subtract 1-digit from a 2-digit number: 33 - 9 = Subtract 1-digit from a 3-digit number: 217 - 9 =

Grade 9 Verbal Reasoning Worksheet #1 | Student Handouts

Grade 9 Verbal Reasoning Worksheet #1 | Student Handouts

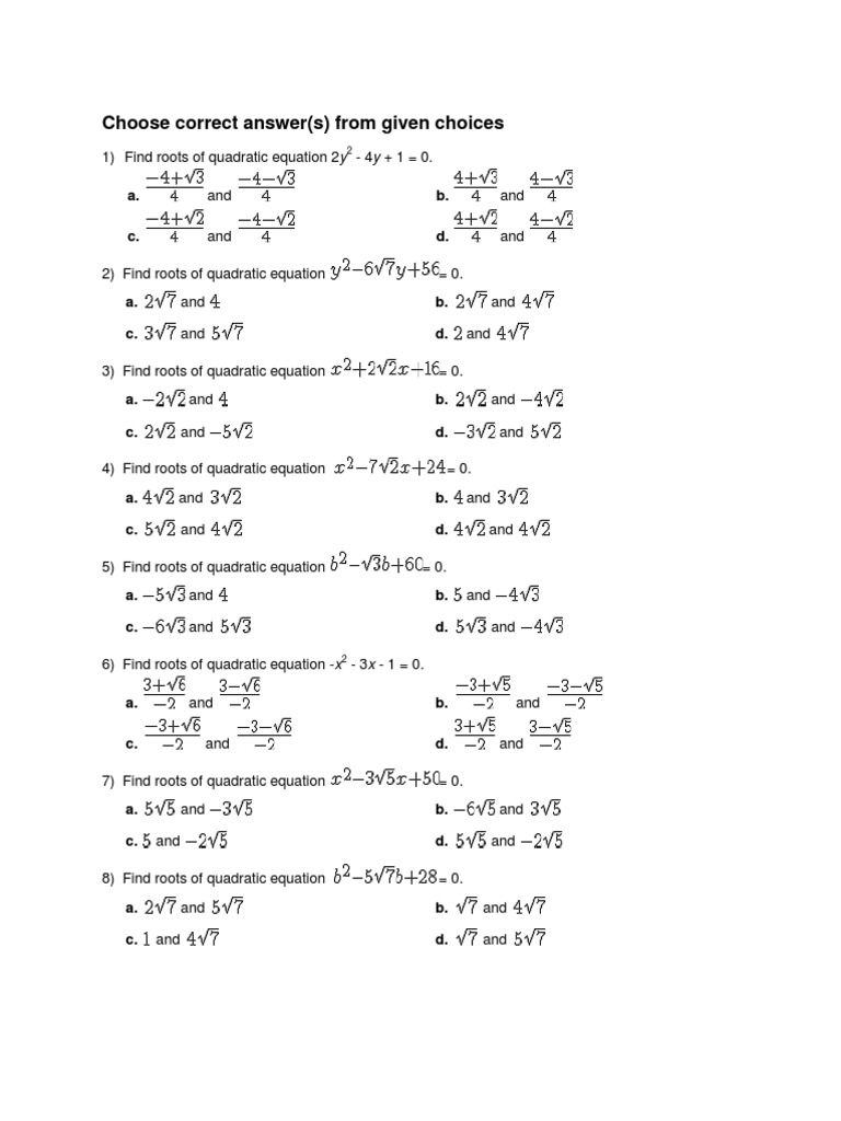
Grade 9 Quadratic Equations Worksheet | PDF

Grade 9 Quadratic Equations Worksheet | PDF

Answers to worksheet 10 - Mr. Maag - Grade 9 Math

Answers to worksheet 10 - Mr. Maag - Grade 9 Math

9th Grade Math Worksheets pdf – Easy Hard Science

9th Grade Math Worksheets pdf – Easy Hard Science

Math Place Value Worksheets to Hundreds

Math Place Value Worksheets to Hundreds

Amazing Free Geometry Worksheets to Print or Download

Amazing Free Geometry Worksheets to Print or Download

Finish The Pattern - 1st Grade Math Worksheet Catholic ...

Finish The Pattern - 1st Grade Math Worksheet Catholic ...

Free Printouts for Grades 1, 2, and 3

Free Printouts for Grades 1, 2, and 3

Fillable Online Sample Grade 9-12 Basic Lesson - Math ...

Fillable Online Sample Grade 9-12 Basic Lesson - Math ...

9th Grade Math Worksheets | Worksheets Worksheets

9th Grade Math Worksheets | Worksheets Worksheets

9th Grade Math Packet

9th Grade Math Packet

Printable Division Worksheets 3rd Grade

Printable Division Worksheets 3rd Grade

4th Grade Math Worksheets Online - SplashLearn

4th Grade Math Worksheets Online - SplashLearn

Math Worksheets | Dynamically Created Math Worksheets

Math Worksheets | Dynamically Created Math Worksheets

Solving Simple Linear Equations with Unknown Values Between ...

Solving Simple Linear Equations with Unknown Values Between ...

Solutions to Worksheet 05 - Mr. Maag - Grade 9 Math

Solutions to Worksheet 05 - Mr. Maag - Grade 9 Math

9th Grade Math Worksheets pdf – Easy Hard Science

9th Grade Math Worksheets pdf – Easy Hard Science

Worksheet 20 Solutions - Mr. Maag - Grade 9 Math

Worksheet 20 Solutions - Mr. Maag - Grade 9 Math

Grade 9 Academic Math Course Warm-Up Worksheet (Ontario) | TpT

Grade 9 Academic Math Course Warm-Up Worksheet (Ontario) | TpT

Math 9 Q1-Week 3 Discriminat& Natures worksheet

Math 9 Q1-Week 3 Discriminat& Natures worksheet

Math Test Online-61Math.Com[Math worksheets for kids,oral ...

Math Test Online-61Math.Com[Math worksheets for kids,oral ...

61_free-collection-of-30-printable-math-worksheets-grade ...

61_free-collection-of-30-printable-math-worksheets-grade ...

Math Worksheets | Engaged Immigrant Youth

Math Worksheets | Engaged Immigrant Youth

Mental Math Worksheets – TheWorksheets.CoM – TheWorksheets.com

Mental Math Worksheets – TheWorksheets.CoM – TheWorksheets.com

MathSphere Free Sample Maths Worksheets

MathSphere Free Sample Maths Worksheets

Grade 7 Maths Worksheet: Number sentences | Smartkids

Grade 7 Maths Worksheet: Number sentences | Smartkids

Final math test - 9th grade worksheet

Final math test - 9th grade worksheet

A nice quick-payoff exercise on indices for year 9. | Cursos ...

A nice quick-payoff exercise on indices for year 9. | Cursos ...

9th Grade Math Worksheets PDF | Math Worksheets for 9th Grade ...

9th Grade Math Worksheets PDF | Math Worksheets for 9th Grade ...

Free Download Printable Worksheets For Grade 4 Maths ...

Free Download Printable Worksheets For Grade 4 Maths ...

Math Worksheets | Dynamically Created Math Worksheets

Math Worksheets | Dynamically Created Math Worksheets

Browse Printable 5th Grade Math Worksheets | Education.com

Browse Printable 5th Grade Math Worksheets | Education.com

Math 9 1st Qtr Summative Test B worksheet

Math 9 1st Qtr Summative Test B worksheet

6th Grade Common Core Math Worksheets

6th Grade Common Core Math Worksheets

Worksheet 18 Graphs Grade 9 - Maths At Sharp

Worksheet 18 Graphs Grade 9 - Maths At Sharp

Maths Worksheet for Class 3 | Interesting Maths Puzzles Inside

Maths Worksheet for Class 3 | Interesting Maths Puzzles Inside

Grade 2 Addition Worksheets - free & printable | K5 Learning

Grade 2 Addition Worksheets - free & printable | K5 Learning

Academic Grade 9 Assessment of Mathematics: Algebra I and ...

Academic Grade 9 Assessment of Mathematics: Algebra I and ...

1st Grade Math Worksheets (Free Printables)

1st Grade Math Worksheets (Free Printables)

Grade 9 - Linear Equations in Two Variables | Math Practice ...

Grade 9 - Linear Equations in Two Variables | Math Practice ...

0 Response to "40 printable grade 9 math worksheets"

Post a Comment

Iklan Atas Artikel

Iklan Tengah Artikel 1

Iklan Tengah Artikel 2

Iklan Bawah Artikel